schoolМатематика
verifiedРешено AI
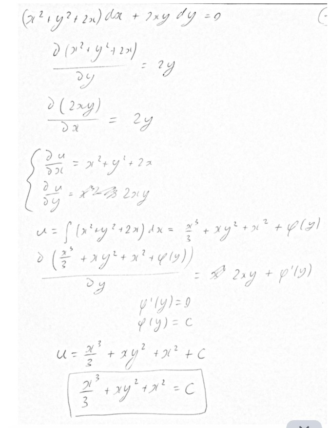
Решение дифференциального уравнения в полных дифференциалах
help_outlineУсловие задачи
Объясни ход решения и какого порядка уравнение

lightbulbКраткий ответ
Представлено решение дифференциального уравнения первого порядка в полных дифференциалах. Объяснен ход решения и доказано, что уравнение является уравнением в полных дифференциалах.
Подробное решение
На представленном изображении приведено решение дифференциального уравнения в полных дифференциалах. Ниже представлено подробное объяснение хода решения, оформленное для записи в тетрадь.
Порядок уравнения:
Данное уравнение является дифференциальным уравнением первого порядка, так как в него входят только первые производные (или дифференциалы первого порядка) неизвестной функции.
Ход решения:
1. Вид уравнения:
Уравнение имеет вид \( P(x, y)dx + Q(x, y)dy = 0 \), где:
\[ P(x, y) = x^2 + y^2 + 2x \]
\[ Q(x, y) = 2xy \]
2. Проверка условия полноты дифференциала:
Чтобы уравнение было уравнением в полных дифференциалах, должно выполняться равенство частных производных:
\[ \frac{\partial P}{\partial y} = \frac{\partial Q}{\partial x} \]
Вычисляем:
\[ \frac{\partial (x^2 + y^2 + 2x)}{\partial y} = 2y \]
\[ \frac{\partial (2xy)}{\partial x} = 2y \]
Условие \( 2y = 2y \) выполняется, значит, существует функция \( u(x, y) \), полный дифференциал которой равен левой части уравнения.
3. Поиск функции \( u(x, y) \):
Из определения полного дифференциала имеем систему:
\[ \begin{cases} \frac{\partial u}{\partial x} = x^2 + y^2 + 2x \\ \frac{\partial u}{\partial y} = 2xy \end{cases} \]
Интегрируем первое уравнение по \( x \), считая \( y \) константой:
\[ u = \int (x^2 + y^2 + 2x) dx = \frac{x^3}{3} + xy^2 + x^2 + \varphi(y) \]
Здесь \( \varphi(y) \) — неизвестная функция от \( y \), играющая роль константы интегрирования.
4. Нахождение \( \varphi(y) \):
Дифференцируем полученное выражение для \( u \) по \( y \):
\[ \frac{\partial u}{\partial y} = \frac{\partial}{\partial y} \left( \frac{x^3}{3} + xy^2 + x^2 + \varphi(y) \right) = 2xy + \varphi'(y) \]
Сравниваем результат со вторым уравнением системы (\( \frac{\partial u}{\partial y} = 2xy \)):
\[ 2xy + \varphi'(y) = 2xy \]
Отсюда следует:
\[ \varphi'(y) = 0 \implies \varphi(y) = C_1 \]
5. Общий интеграл уравнения:
Подставляем \( \varphi(y) \) в выражение для \( u \):
\[ u = \frac{x^3}{3} + xy^2 + x^2 + C_1 \]
Общее решение (общий интеграл) записывается в виде \( u(x, y) = C \). Объединяя константы, получаем окончательный ответ:
\[ \frac{x^3}{3} + xy^2 + x^2 = C \]