📸 Нужно решить свою задачу?
Загрузите фото — AI решит за секунды!
schoolМатематика verifiedРешено AI

Решение логарифмических неравенств с интервалами

calendar_today
schedule2 мин. чтения
visibility1 просмотр

Реши задачу: нарисуй для каждого номера интервал

Изображение задачи: Реши задачу: нарисуй для каждого номера интервал
Нажмите для увеличения

Представлены решения логарифмических неравенств с подробным разбором ОДЗ и построением интервалов. Найдены решения для заданных примеров с визуализацией на числовой прямой.

check_circle

Подробное решение

Конечно, давайте нарисуем интервалы для каждого номера.

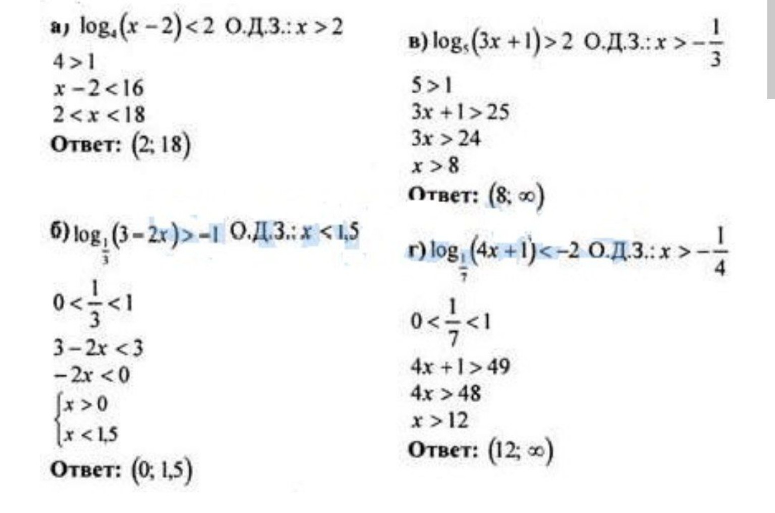
а) \( \log_4(x-2) < 2 \)

О.Д.З.: \( x > 2 \) Решение неравенства: \( x - 2 < 4^2 \) \( x - 2 < 16 \) \( x < 18 \) С учетом О.Д.З. \( x > 2 \), получаем: \( 2 < x < 18 \) Ответ: \( (2; 18) \) Интервал для а): ``` <---------------------------------------------------------------------> -∞ 2 18 +∞ (-------------) ```

б) \( \log_{\frac{1}{3}}(3-2x) > -1 \)

О.Д.З.: \( 3-2x > 0 \Rightarrow -2x > -3 \Rightarrow x < 1.5 \) Решение неравенства (так как основание логарифма \( 0 < \frac{1}{3} < 1 \), знак неравенства меняется на противоположный): \( 3-2x < \left(\frac{1}{3}\right)^{-1} \) \( 3-2x < 3 \) \( -2x < 0 \) \( x > 0 \) С учетом О.Д.З. \( x < 1.5 \), получаем: \( 0 < x < 1.5 \) Ответ: \( (0; 1.5) \) Интервал для б): ``` <---------------------------------------------------------------------> -∞ 0 1.5 +∞ (-------------) ```

в) \( \log_5(3x+1) > 2 \)

О.Д.З.: \( 3x+1 > 0 \Rightarrow 3x > -1 \Rightarrow x > -\frac{1}{3} \) Решение неравенства (так как основание логарифма \( 5 > 1 \), знак неравенства сохраняется): \( 3x+1 > 5^2 \) \( 3x+1 > 25 \) \( 3x > 24 \) \( x > 8 \) С учетом О.Д.З. \( x > -\frac{1}{3} \), получаем: \( x > 8 \) Ответ: \( (8; \infty) \) Интервал для в): ``` <---------------------------------------------------------------------> -∞ -1/3 8 +∞ (-------------------------------------> ```

г) \( \log_{\frac{1}{7}}(4x+1) < -2 \)

О.Д.З.: \( 4x+1 > 0 \Rightarrow 4x > -1 \Rightarrow x > -\frac{1}{4} \) Решение неравенства (так как основание логарифма \( 0 < \frac{1}{7} < 1 \), знак неравенства меняется на противоположный): \( 4x+1 > \left(\frac{1}{7}\right)^{-2} \) \( 4x+1 > 7^2 \) \( 4x+1 > 49 \) \( 4x > 48 \) \( x > 12 \) С учетом О.Д.З. \( x > -\frac{1}{4} \), получаем: \( x > 12 \) Ответ: \( (12; \infty) \) Интервал для г): ``` <---------------------------------------------------------------------> -∞ -1/4 12 +∞ (-------------------------------------> ```
listВсе задачи

Нужно решить свою задачу?

Загрузите фото или введите текст — AI решит с пошаговым объяснением!

Решите свою задачу прямо сейчас

Введите текст задачи или загрузите фото — получите ответ мгновенно

Выберите режим AI:
🚀 Pro v3
20 руб. • 99.9%
⚡ Lite v3
5 руб. • 95%
Ваш баланс:10 руб.
Пополнить
psychology
Задайте любой вопрос
Поддерживаются текст, фото и голосовой ввод
🎉
Бонус получен!
+20 ₽
Добавлено на ваш баланс