schoolМатематика
verifiedРешено AI
Решение задачи: Найти пределы и точки разрыва функции
help_outlineУсловие задачи
Реши задачу: При a=4, b=6, c=3 Реши задачу: Найти пределы, не пользуясь правилом Лопиталя. Реши задачу: Задана функция . Найти точки разрыва функции, если они существуют. Сделать чертеж.

lightbulbКраткий ответ
Найдена точка разрыва функции x=-2. Вычислены односторонние пределы и построен график функции.
Подробное решение
Исследование функции на непрерывность.
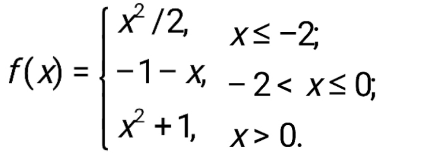
Дана кусочно-заданная функция:
\[ f(x) = \begin{cases} x^2/2, & x \le -2 \\ -1 - x, & -2 < x \le 0 \\ x^2 + 1, & x > 0 \end{cases} \]
Функция определена на всей числовой прямой. Подозрительными на разрыв являются точки стыка интервалов: \( x_1 = -2 \) и \( x_2 = 0 \).
1. Исследуем точку \( x_1 = -2 \):
Находим односторонние пределы и значение функции в точке:
Левосторонний предел:
\[ \lim_{x \to -2-0} f(x) = \lim_{x \to -2} \frac{x^2}{2} = \frac{(-2)^2}{2} = \frac{4}{2} = 2 \]
Правосторонний предел:
\[ \lim_{x \to -2+0} f(x) = \lim_{x \to -2} (-1 - x) = -1 - (-2) = 1 \]
Значение функции: \( f(-2) = \frac{(-2)^2}{2} = 2 \).
Так как левосторонний и правосторонний пределы конечны, но не равны между собой (\( 2 \neq 1 \)), то в точке \( x = -2 \) наблюдается разрыв первого рода (скачок).
Величина скачка: \( \Delta f = |1 - 2| = 1 \).
2. Исследуем точку \( x_2 = 0 \):
Левосторонний предел:
\[ \lim_{x \to 0-0} f(x) = \lim_{x \to 0} (-1 - x) = -1 - 0 = -1 \]
Правосторонний предел:
\[ \lim_{x \to 0+0} f(x) = \lim_{x \to 0} (x^2 + 1) = 0^2 + 1 = 1 \]
Значение функции: \( f(0) = -1 - 0 = -1 \).
Так как пределы конечны и не равны (\( -1 \neq 1 \)), то в точке \( x = 0 \) также наблюдается разрыв первого рода (скачок).
Величина скачка: \( \Delta f = |1 - (-1)| = 2 \).
3. Построение чертежа (описание для тетради):
Для построения графика на координатной плоскости нужно изобразить три фрагмента:
- Левее \( -2 \) (включая точку): парабола \( y = x^2/2 \). Отметьте точки \( (-4; 8), (-2; 2) \). Точка \( (-2; 2) \) закрашена.
- От \( -2 \) до \( 0 \) (включая \( 0 \)): отрезок прямой \( y = -1 - x \). В точке \( x = -2 \) значение \( y = 1 \) (точка выколота), в точке \( x = 0 \) значение \( y = -1 \) (точка закрашена).
- Правее \( 0 \): парабола \( y = x^2 + 1 \). В точке \( x = 0 \) значение \( y = 1 \) (точка выколота), далее точки \( (1; 2), (2; 5) \).
Вывод: Функция имеет две точки разрыва первого рода: \( x = -2 \) и \( x = 0 \).