schoolГеометрия
verifiedРешено AI
Решение задачи: Почему r ограничено?
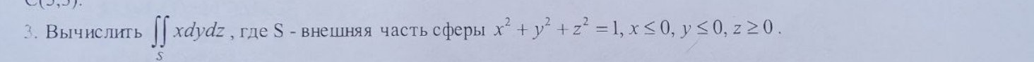
help_outlineУсловие задачи
Реши задачу: Реши и расскажи как такое решать Реши задачу: Почему r в пятом пункте ограничено так и что здесь вообще r

lightbulbКраткий ответ
В полярных координатах r - это расстояние от начала координат. В данной задаче r ограничено от 0 до 1, так как рассматривается круг, являющийся проекцией части сферы.
Подробное решение
Для того чтобы это понять, нужно разобрать, как мы переходим от декартовых координат \( (y, z) \) к полярным координатам на плоскости.
1. Что такое \( r \)?
В полярной системе координат \( r \) — это расстояние от начала координат (точки \( 0,0 \)) до точки на плоскости.
Поскольку наше тело — это часть сферы \( x^2 + y^2 + z^2 = 1 \), то при проекции этой части на плоскость \( Oyz \) (где \( x \) меняется от своего значения до нуля) мы получаем плоскую фигуру, ограниченную окружностью \( y^2 + z^2 = 1 \).
Уравнение окружности в полярных координатах выглядит так:
\[ r^2 = 1 \implies r = 1 \]
Так как мы рассматриваем внутреннюю часть этой окружности (круг), то расстояние \( r \) меняется от самого центра до края, то есть:
\[ 0 \le r \le 1 \]
2. Почему именно такие границы?
Границы изменения \( r \) и \( \phi \) определяются областью \( D \), которая является проекцией куска сферы на плоскость \( Oyz \).
По условию задачи у нас заданы ограничения:
\[ y \le 0, \quad z \ge 0 \]
Если нарисовать оси \( y \) (горизонтальная) и \( z \) (вертикальная), то:
- Условие \( z \ge 0 \) означает, что мы находимся в верхней полуплоскости.
- Условие \( y \le 0 \) означает, что мы находимся в левой полуплоскости.
Пересечение этих условий дает нам вторую четверть координатной плоскости.
3. Про угол \( \phi \):
Угол \( \phi \) отсчитывается от положительного направления горизонтальной оси (в данном случае оси \( Oy \)) против часовой стрелки:
- Первая четверть: от \( 0 \) до \( \frac{\pi}{2} \)
- Вторая четверть (наша): от \( \frac{\pi}{2} \) до \( \pi \)
- Третья четверть: от \( \pi \) до \( \frac{3\pi}{2} \)
- Четвертая четверть: от \( \frac{3\pi}{2} \) до \( 2\pi \)
Именно поэтому для второй четверти мы записали границы:
\[ \frac{\pi}{2} \le \phi \le \pi \]
Итог для тетради:
Переменная \( r \) — это радиус-вектор в проекции на плоскость \( Oyz \). Так как сфера имеет радиус \( 1 \), то и её проекция (круг) имеет радиус \( 1 \), поэтому \( r \in [0, 1] \). А границы угла определяются тем, что по условию \( y \le 0 \) и \( z \ge 0 \), что соответствует второй четверти круга.