schoolМатематика
verifiedРешено AI
Решение задачи по ОБЖ: Первая помощь
help_outlineУсловие задачи
Реши задачу: Решить

lightbulbКраткий ответ
На странице представлено подробное решение задачи по ОБЖ, посвященной правилам оказания первой помощи. Включает в себя определение первой помощи и главные задачи.
Подробное решение
Вот решения задач, оформленные так, чтобы было удобно переписать в тетрадь школьнику:
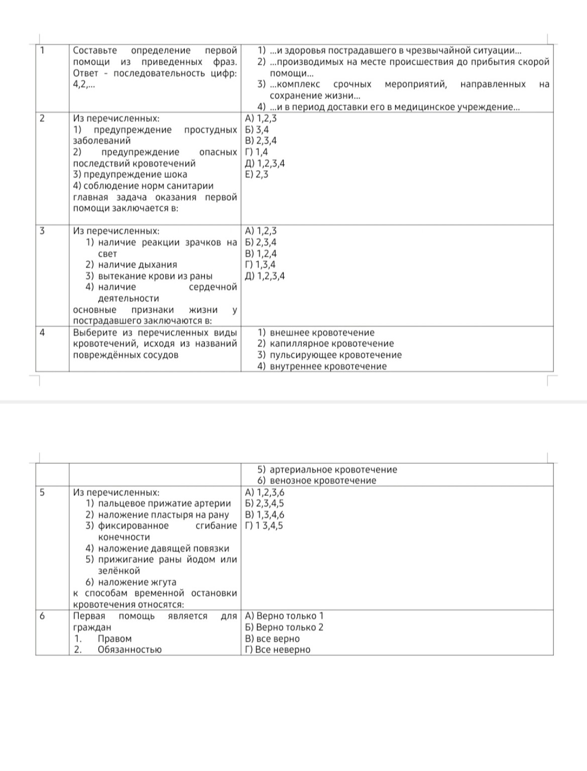
1. Составьте определение первой помощи из приведенных фраз.
Ответ - последовательность цифр: 4,2,...
* **Правильный ответ:** 3,2,1,4
* 3) ...комплекс срочных мероприятий, направленных на сохранение жизни...
* 2) ...производимых на месте происшествия до прибытия скорой помощи...
* 1) ...и здоровья пострадавшего в чрезвычайной ситуации...
* 4) ...и в период доставки его в медицинское учреждение...
2. Из перечисленных:
1) предупреждение простудных заболеваний
2) предупреждение опасных последствий кровотечений
3) предупреждение шока
4) соблюдение норм санитарии
главная задача оказания первой помощи заключается в:
* **Правильный ответ:** В) 2,3,4
* Предупреждение опасных последствий кровотечений, предупреждение шока и соблюдение норм санитарии являются важными задачами первой помощи. Предупреждение простудных заболеваний не относится к главной задаче первой помощи.
3. Из перечисленных:
1) наличие реакции зрачков на свет
2) наличие дыхания
3) вытекание крови из раны
4) наличие сердечной деятельности
основные признаки жизни у пострадавшего заключаются в:
* **Правильный ответ:** А) 1,2,3
* Наличие реакции зрачков на свет, наличие дыхания и наличие сердечной деятельности являются основными признаками жизни. Вытекание крови из раны не является признаком жизни, а скорее признаком травмы.
4. Выберите из перечисленных виды кровотечений, исходя из названий повреждённых сосудов
* **Правильный ответ:**
* 1) внешнее кровотечение
* 2) капиллярное кровотечение
* 3) пульсирующее кровотечение
* 4) внутреннее кровотечение
* 5) артериальное кровотечение
* 6) венозное кровотечение
* **Пояснение:**
* Кровотечения классифицируются по типу поврежденного сосуда (артериальное, венозное, капиллярное) и по месту излияния крови (внешнее, внутреннее). Пульсирующее кровотечение является характеристикой артериального кровотечения.
5. Из перечисленных:
1) пальцевое прижатие артерии
2) наложение пластыря на рану
3) фиксированное сгибание конечности
4) наложение давящей повязки
5) прижигание раны йодом или зелёнкой
6) наложение жгута
к способам временной остановки кровотечения относятся:
* **Правильный ответ:** А) 1,2,3,6
* Пальцевое прижатие артерии, наложение пластыря на рану, фиксированное сгибание конечности и наложение жгута являются способами временной остановки кровотечения. Наложение давящей повязки также является способом остановки кровотечения, но в данном варианте ответа его нет. Прижигание раны йодом или зелёнкой не является способом остановки кровотечения.
6. Первая помощь является для граждан
1. Правом
2. Обязанностью
* **Правильный ответ:** В) Все верно
* Оказание первой помощи является как правом, так и в некоторых случаях обязанностью граждан (например, для лиц, имеющих специальную подготовку или находящихся при исполнении служебных обязанностей).