schoolМатематика
verifiedРешено AI
Решение Интеграла ∫(x²+1)/(x⁴+1) dx
help_outlineУсловие задачи

lightbulbКраткий ответ
Представлено подробное решение интеграла ∫(x²+1)/(x⁴+1) dx с использованием замены переменной t = x - 1/x. Решение включает вычисление пределов интегрирования и упрощение выражения.
Подробное решение
Вот решение задачи:
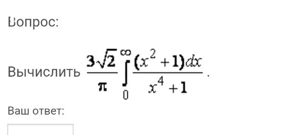
Вычислить:
\[ \frac{3\sqrt{2}}{\pi} \int_{0}^{\infty} \frac{(x^2 + 1)dx}{x^4 + 1} \]
Решение:
Сначала вычислим определённый интеграл:
\[ I = \int_{0}^{\infty} \frac{x^2 + 1}{x^4 + 1} dx \]
Для вычисления этого интеграла разделим числитель и знаменатель на \(x^2\):
\[ I = \int_{0}^{\infty} \frac{1 + \frac{1}{x^2}}{x^2 + \frac{1}{x^2}} dx \]
Теперь сделаем замену переменной. Пусть \(t = x - \frac{1}{x}\).
Тогда \(dt = \left(1 + \frac{1}{x^2}\right) dx\).
Также \(t^2 = \left(x - \frac{1}{x}\right)^2 = x^2 - 2 + \frac{1}{x^2}\), откуда \(x^2 + \frac{1}{x^2} = t^2 + 2\).
Определим пределы интегрирования для \(t\):
Когда \(x \to 0^+\), \(t = x - \frac{1}{x} \to 0 - \infty = -\infty\).
Когда \(x \to \infty\), \(t = x - \frac{1}{x} \to \infty - 0 = \infty\).
Таким образом, интеграл преобразуется в:
\[ I = \int_{-\infty}^{\infty} \frac{dt}{t^2 + 2} \]
Этот интеграл является табличным. Мы знаем, что \(\int \frac{du}{a^2 + u^2} = \frac{1}{a} \arctan\left(\frac{u}{a}\right) + C\).
В нашем случае \(a^2 = 2\), значит \(a = \sqrt{2}\).
\[ I = \left[ \frac{1}{\sqrt{2}} \arctan\left(\frac{t}{\sqrt{2}}\right) \right]_{-\infty}^{\infty} \]
Подставим пределы интегрирования:
\[ I = \frac{1}{\sqrt{2}} \left( \lim_{t \to \infty} \arctan\left(\frac{t}{\sqrt{2}}\right) - \lim_{t \to -\infty} \arctan\left(\frac{t}{\sqrt{2}}\right) \right) \]
Мы знаем, что \(\lim_{y \to \infty} \arctan(y) = \frac{\pi}{2}\) и \(\lim_{y \to -\infty} \arctan(y) = -\frac{\pi}{2}\).
\[ I = \frac{1}{\sqrt{2}} \left( \frac{\pi}{2} - \left(-\frac{\pi}{2}\right) \right) \]
\[ I = \frac{1}{\sqrt{2}} \left( \frac{\pi}{2} + \frac{\pi}{2} \right) \]
\[ I = \frac{1}{\sqrt{2}} \cdot \pi \]
\[ I = \frac{\pi}{\sqrt{2}} \]
Теперь подставим это значение обратно в исходное выражение:
\[ \frac{3\sqrt{2}}{\pi} \cdot I = \frac{3\sqrt{2}}{\pi} \cdot \frac{\pi}{\sqrt{2}} \]
Сократим \(\sqrt{2}\) и \(\pi\):
\[ \frac{3\cancel{\sqrt{2}}}{\cancel{\pi}} \cdot \frac{\cancel{\pi}}{\cancel{\sqrt{2}}} = 3 \]
Окончательный ответ:
3