schoolМатематика
verifiedРешено AI
Решение системы уравнений методом Гаусса
help_outlineУсловие задачи

lightbulbКраткий ответ
Представлено пошаговое решение системы линейных уравнений методом Гаусса. Выполнены исключения переменных для нахождения решения СЛАУ.
Подробное решение
Решение системы уравнений методом Гаусса:
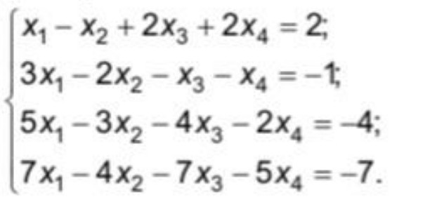
\[ \begin{cases} x_1 - x_2 + 2x_3 + 2x_4 = 2 \quad (1) \\ 3x_1 - 2x_2 - x_3 - x_4 = -1 \quad (2) \\ 5x_1 - 3x_2 - 4x_3 - 2x_4 = -4 \quad (3) \\ 7x_1 - 4x_2 - 7x_3 - 5x_4 = -7 \quad (4) \end{cases} \]
1. Исключим \(x_1\) из уравнений (2), (3) и (4).
Для этого из (2) вычтем (1), умноженное на 3; из (3) вычтем (1), умноженное на 5; из (4) вычтем (1), умноженное на 7:
\[ (2) - 3 \cdot (1): \quad x_2 - 7x_3 - 7x_4 = -7 \quad (2') \]
\[ (3) - 5 \cdot (1): \quad 2x_2 - 14x_3 - 12x_4 = -14 \quad (3') \]
\[ (4) - 7 \cdot (1): \quad 3x_2 - 21x_3 - 19x_4 = -21 \quad (4') \]
2. Теперь исключим \(x_2\) из уравнений (3') и (4').
Для этого из (3') вычтем (2'), умноженное на 2; из (4') вычтем (2'), умноженное на 3:
\[ (3') - 2 \cdot (2'): \quad (2x_2 - 14x_3 - 12x_4) - 2(x_2 - 7x_3 - 7x_4) = -14 - 2(-7) \]
\[ 2x_4 = 0 \implies x_4 = 0 \]
\[ (4') - 3 \cdot (2'): \quad (3x_2 - 21x_3 - 19x_4) - 3(x_2 - 7x_3 - 7x_4) = -21 - 3(-7) \]
\[ 2x_4 = 0 \implies x_4 = 0 \]
3. Мы получили, что \(x_4 = 0\). Теперь подставим это значение в уравнение (2'):
\[ x_2 - 7x_3 - 7(0) = -7 \]
\[ x_2 = 7x_3 - 7 \]
4. Подставим \(x_4 = 0\) и \(x_2 = 7x_3 - 7\) в уравнение (1), чтобы найти \(x_1\):
\[ x_1 - (7x_3 - 7) + 2x_3 + 2(0) = 2 \]
\[ x_1 - 7x_3 + 7 + 2x_3 = 2 \]
\[ x_1 - 5x_3 = -5 \]
\[ x_1 = 5x_3 - 5 \]
5. Система имеет бесконечное множество решений, зависящих от параметра \(x_3\). Пусть \(x_3 = c\).
Ответ:
\[ x_1 = 5c - 5 \]
\[ x_2 = 7c - 7 \]
\[ x_3 = c \]
\[ x_4 = 0 \]
где \(c\) — любое действительное число.