schoolМатематика
verifiedРешено AI
Решение системы линейных уравнений методом Гаусса
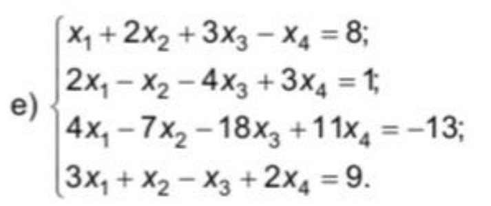
help_outlineУсловие задачи

lightbulbКраткий ответ
Представлено подробное решение системы линейных уравнений методом Гаусса. Выполнены элементарные преобразования строк матрицы для приведения к ступенчатому виду.
Подробное решение
Решим систему линейных уравнений методом Гаусса.
Запишем расширенную матрицу системы:
\[ \begin{pmatrix} 1 & 2 & 3 & -1 & | & 8 \\ 2 & -1 & -4 & 3 & | & 1 \\ 4 & -7 & -18 & 11 & | & -13 \\ 3 & 1 & -1 & 2 & | & 9 \end{pmatrix} \]
Шаг 1. Обнулим элементы под первой единицей в первом столбце.
Для этого:
- Из второй строки вычтем первую, умноженную на 2.
- Из третьей строки вычтем первую, умноженную на 4.
- Из четвертой строки вычтем первую, умноженную на 3.
Получим:
\[ \begin{pmatrix} 1 & 2 & 3 & -1 & | & 8 \\ 0 & -5 & -10 & 5 & | & -15 \\ 0 & -15 & -30 & 15 & | & -45 \\ 0 & -5 & -10 & 5 & | & -15 \end{pmatrix} \]
Шаг 2. Упростим полученные строки.
Заметим, что вторая, третья и четвертая строки пропорциональны друг другу. Разделим вторую строку на \(-5\), третью на \(-15\), а четвертую на \(-5\):
\[ \begin{pmatrix} 1 & 2 & 3 & -1 & | & 8 \\ 0 & 1 & 2 & -1 & | & 3 \\ 0 & 1 & 2 & -1 & | & 3 \\ 0 & 1 & 2 & -1 & | & 3 \end{pmatrix} \]
Шаг 3. Удалим лишние одинаковые строки.
Остается система из двух уравнений:
\[ \begin{pmatrix} 1 & 2 & 3 & -1 & | & 8 \\ 0 & 1 & 2 & -1 & | & 3 \end{pmatrix} \]
Так как количество переменных (4) больше количества независимых уравнений (2), система имеет бесконечное множество решений. Выберем \(x_3\) и \(x_4\) в качестве свободных переменных.
Из второй строки выразим \(x_2\):
\[ x_2 + 2x_3 - x_4 = 3 \implies x_2 = 3 - 2x_3 + x_4 \]
Подставим выражение для \(x_2\) в первое уравнение:
\[ x_1 + 2(3 - 2x_3 + x_4) + 3x_3 - x_4 = 8 \]
\[ x_1 + 6 - 4x_3 + 2x_4 + 3x_3 - x_4 = 8 \]
\[ x_1 - x_3 + x_4 = 2 \implies x_1 = 2 + x_3 - x_4 \]
Запишем общее решение системы:
\[ \begin{cases} x_1 = 2 + x_3 - x_4 \\ x_2 = 3 - 2x_3 + x_4 \\ x_3 \in \mathbb{R} \\ x_4 \in \mathbb{R} \end{cases} \]
Ответ: \( (2 + x_3 - x_4; 3 - 2x_3 + x_4; x_3; x_4) \), где \(x_3, x_4\) — любые числа.