schoolАлгебра
verifiedРешено AI
Решение иррациональных уравнений
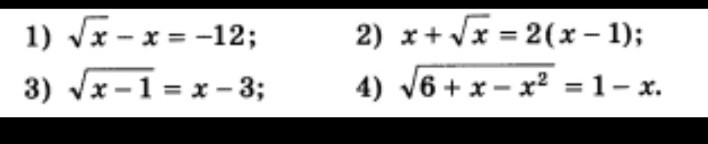
help_outlineУсловие задачи

lightbulbКраткий ответ
Решение иррациональных уравнений требует внимательности при возведении в квадрат и проверке корней. Представлены примеры решения с заменой переменной и возведением в квадрат с подробным объяснением каждого шага.
Подробное решение
Решение иррациональных уравнений.
1) \( \sqrt{x} - x = -12 \)
Перенесем все члены в одну сторону:
\( x - \sqrt{x} - 12 = 0 \)
Пусть \( \sqrt{x} = t \), где \( t \ge 0 \). Тогда \( x = t^2 \).
\( t^2 - t - 12 = 0 \)
По теореме Виета:
\( t_1 = 4 \)
\( t_2 = -3 \) (не подходит, так как \( t \ge 0 \))
Вернемся к замене:
\( \sqrt{x} = 4 \)
\( x = 16 \)
Ответ: 16.
2) \( x + \sqrt{x} = 2(x - 1) \)
Раскроем скобки:
\( x + \sqrt{x} = 2x - 2 \)
\( \sqrt{x} = x - 2 \)
Возведем обе части в квадрат при условии \( x - 2 \ge 0 \) (т.е. \( x \ge 2 \)):
\( x = (x - 2)^2 \)
\( x = x^2 - 4x + 4 \)
\( x^2 - 5x + 4 = 0 \)
Корни уравнения:
\( x_1 = 4 \) (подходит, \( 4 \ge 2 \))
\( x_2 = 1 \) (не подходит, \( 1 < 2 \))
Ответ: 4.
3) \( \sqrt{x - 1} = x - 3 \)
Возведем в квадрат при условии \( x - 3 \ge 0 \) (т.е. \( x \ge 3 \)):
\( x - 1 = (x - 3)^2 \)
\( x - 1 = x^2 - 6x + 9 \)
\( x^2 - 7x + 10 = 0 \)
По теореме Виета:
\( x_1 = 5 \) (подходит, \( 5 \ge 3 \))
\( x_2 = 2 \) (не подходит, \( 2 < 3 \))
Ответ: 5.
4) \( \sqrt{6 + x - x^2} = 1 - x \)
Возведем в квадрат при условии \( 1 - x \ge 0 \) (т.е. \( x \le 1 \)):
\( 6 + x - x^2 = (1 - x)^2 \)
\( 6 + x - x^2 = 1 - 2x + x^2 \)
Перенесем всё в правую часть:
\( 2x^2 - 3x - 5 = 0 \)
Найдем дискриминант:
\( D = (-3)^2 - 4 \cdot 2 \cdot (-5) = 9 + 40 = 49 \)
\( x = \frac{3 \pm 7}{4} \)
\( x_1 = \frac{10}{4} = 2,5 \) (не подходит, так как \( 2,5 > 1 \))
\( x_2 = \frac{-4}{4} = -1 \) (подходит, так как \( -1 \le 1 \))
Проверка ОДЗ для \( x = -1 \): \( 6 + (-1) - (-1)^2 = 6 - 1 - 1 = 4 \ge 0 \) (верно).
Ответ: -1.