schoolХимия
verifiedРешено AI
Какое азотистое основание комплементарно гуанину в ДНК?
help_outlineУсловие задачи

lightbulbКраткий ответ
В молекуле ДНК, согласно принципу комплементарности, гуанину (Г) комплементарна пара – цитозин (Ц). Они образуют прочное соединение благодаря водородным связям.
Подробное решение
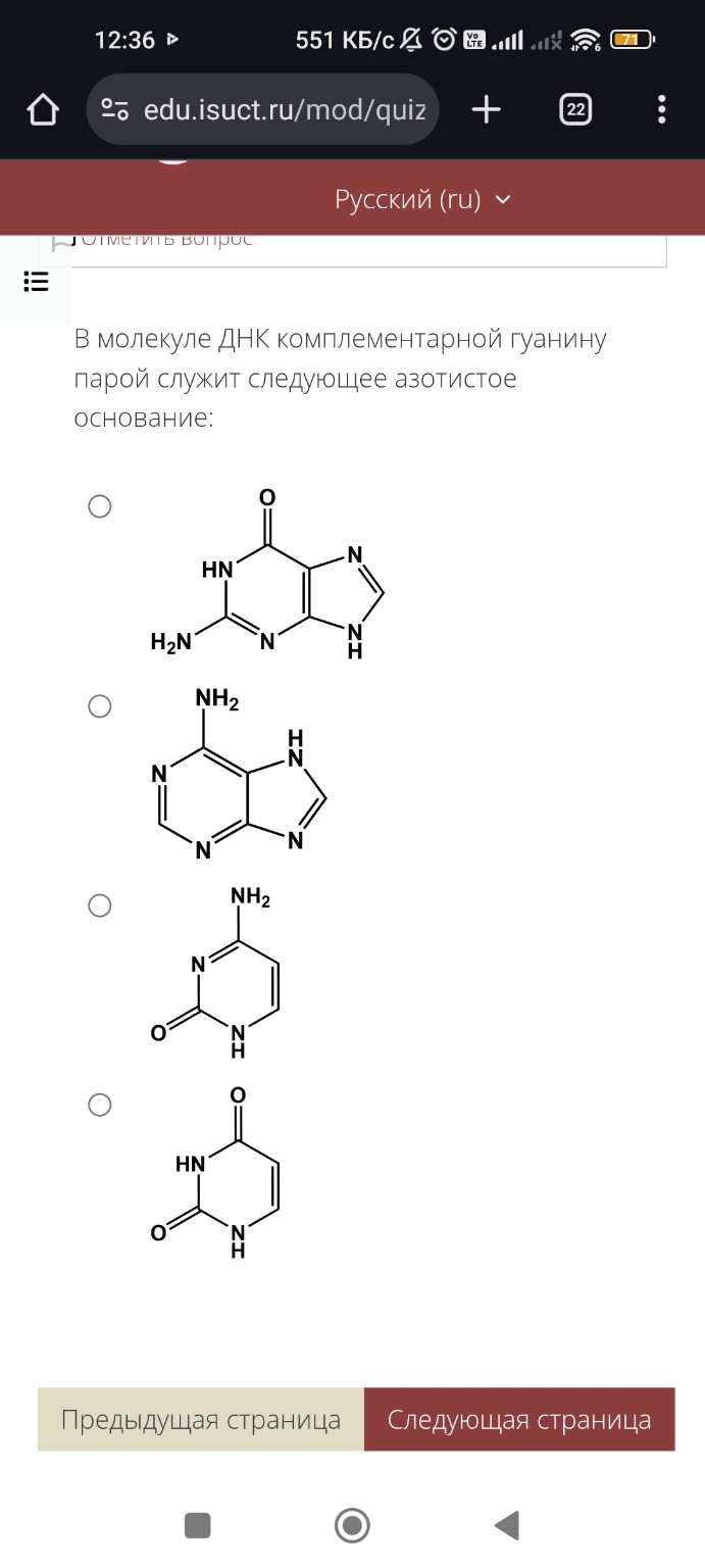
Вопрос: В молекуле ДНК комплементарной гуанину парой служит следующее азотистое основание.
Решение:
Согласно принципу комплементарности Чаргаффа, в молекуле ДНК азотистые основания соединяются строго определенными парами:
1. Аденин (А) образует пару с Тимином (Т).
2. Гуанин (Г) образует пару с Цитозином (Ц).
Следовательно, комплементарной парой для гуанина является цитозин.
Разберем представленные на картинке структурные формулы:
1. Первое соединение — это Гуанин (пуриновое основание с аминогруппой и карбонильной группой).
2. Второе соединение — это Аденин (пуриновое основание с аминогруппой).
3. Третье соединение — это Цитозин (пиримидиновое основание с одной карбонильной группой и одной аминогруппой).
4. Четвертое соединение — это Урацил (встречается в РНК) или Тимин (если бы была метильная группа).
Правильный ответ: Третий вариант (Цитозин).
Ответ: Цитозин (третья структурная формула сверху).