schoolМатематика
verifiedРешено AI
Найти площадь области D: решение задачи
help_outlineУсловие задачи

lightbulbКраткий ответ
Площадь области D, ограниченной линиями xy=4, y=x и x=4, находится с помощью определенного интеграла. Решение включает определение границ интегрирования и вычисление интеграла от разности функций.
Подробное решение
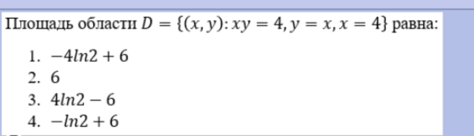
Задание: Найти площадь области \(D\), ограниченной линиями \(xy = 4\), \(y = x\), \(x = 4\).
Решение:
1. Определим границы интегрирования. Область ограничена тремя линиями:
- Гипербола: \(y = \frac{4}{x}\)
- Прямая: \(y = x\)
- Вертикальная прямая: \(x = 4\)
2. Найдем точку пересечения гиперболы \(y = \frac{4}{x}\) и прямой \(y = x\):
\[x = \frac{4}{x} \implies x^2 = 4 \implies x = 2\]
(берем \(x = 2\), так как область находится в первой четверти, где \(x=4\)).
3. Таким образом, область \(D\) находится в интервале от \(x = 2\) до \(x = 4\). На этом интервале прямая \(y = x\) лежит выше гиперболы \(y = \frac{4}{x}\) (например, при \(x=3\): \(3 > \frac{4}{3}\)).
4. Площадь \(S\) вычисляется с помощью определенного интеграла:
\[S = \int_{2}^{4} (x - \frac{4}{x}) dx\]
5. Вычислим интеграл:
\[S = \left[ \frac{x^2}{2} - 4\ln|x| \right]_{2}^{4}\]
6. Подставим верхний и нижний пределы:
\[S = \left( \frac{4^2}{2} - 4\ln 4 \right) - \left( \frac{2^2}{2} - 4\ln 2 \right)\]
\[S = (8 - 4\ln 4) - (2 - 4\ln 2)\]
\[S = 8 - 2 - 4\ln(2^2) + 4\ln 2\]
\[S = 6 - 8\ln 2 + 4\ln 2\]
\[S = 6 - 4\ln 2\]
Полученный результат можно записать как \(-4\ln 2 + 6\).
7. Сравним с вариантами ответов:
1. \(-4\ln 2 + 6\) — совпадает с нашим результатом.
2. \(6\)
3. \(4\ln 2 - 6\)
4. \(-\ln 2 + 6\)
Ответ: 1. \(-4\ln 2 + 6\)