school
Общие знания
verified
Решено AI
Решение: Контрольная работа. Показательные и логарифмические уравнения и неравенства
help_outline
Условие задачи

lightbulb
Краткий ответ
Решение показательных уравнений с подробным объяснением. Найдите корни уравнений 2^(x^2-7x+10) = 1 и 0.5^x = 4^(x+1) с помощью наших решений.
Подробное решение
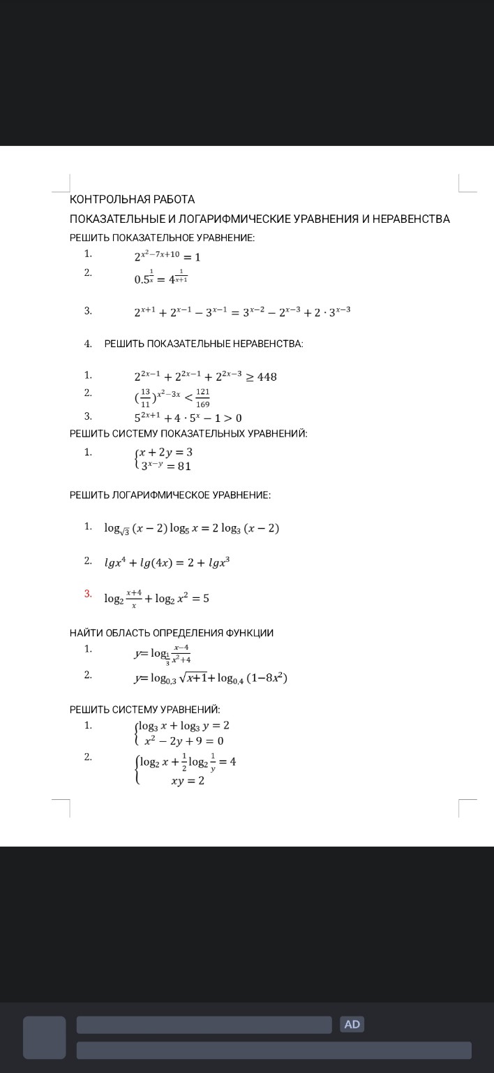
КОНТРОЛЬНАЯ РАБОТА
ПОКАЗАТЕЛЬНЫЕ И ЛОГАРИФМИЧЕСКИЕ УРАВНЕНИЯ И НЕРАВЕНСТВА
РЕШИТЬ ПОКАЗАТЕЛЬНОЕ УРАВНЕНИЕ:
1. \(2^{x^2-7x+10} = 1\)
Решение:
Поскольку \(1 = 2^0\), то уравнение можно переписать как:
\(2^{x^2-7x+10} = 2^0\)
Основания равны, значит, показатели степени тоже равны:
\(x^2 - 7x + 10 = 0\)
Это квадратное уравнение. Найдем его корни с помощью дискриминанта или теоремы Виета.
По теореме Виета:
Сумма корней \(x_1 + x_2 = 7\)
Произведение корней \(x_1 \cdot x_2 = 10\)
Подходящие числа: \(x_1 = 2\), \(x_2 = 5\).
Проверка: \(2+5=7\), \(2 \cdot 5 = 10\).
Ответ: \(x_1 = 2\), \(x_2 = 5\).
2. \(0.5^x = 4^{x+1}\)
Решение:
Переведем все основания к одному числу, например, к 2.
\(0.5 = \frac{1}{2} = 2^{-1}\)
\(4 = 2^2\)
Подставим это в уравнение:
\((2^{-1})^x = (2^2)^{x+1}\)
Используем свойство \((a^m)^n = a^{mn}\):
\(2^{-x} = 2^{2(x+1)}\)
\(2^{-x} = 2^{2x+2}\)
Основания равны, значит, показатели степени тоже равны:
\(-x = 2x + 2\)
Перенесем \(x\) в одну сторону, числа в другую:
\(-x - 2x = 2\)
\(-3x = 2\)
\(x = -\frac{2}{3}\)
Ответ: \(x = -\frac{2}{3}\).
3. \(2^{x+1} + 2^{x-1} - 3^x = 3^{x-2} - 2^{x-3} + 2 \cdot 3^{x-3}\)
Решение:
Сгруппируем члены с одинаковыми основаниями. Перенесем все члены с основанием 2 в левую часть, а с основанием 3 в правую часть.
\(2^{x+1} + 2^{x-1} + 2^{x-3} = 3^{x-2} + 2 \cdot 3^{x-3} + 3^x\)
Вынесем общие множители:
В левой части вынесем \(2^{x-3}\):
\(2^{x-3} \cdot (2^{(x+1)-(x-3)} + 2^{(x-1)-(x-3)} + 1) = 3^{x-2} + 2 \cdot 3^{x-3} + 3^x\)
\(2^{x-3} \cdot (2^4 + 2^2 + 1) = 3^{x-2} + 2 \cdot 3^{x-3} + 3^x\)
\(2^{x-3} \cdot (16 + 4 + 1) = 3^{x-2} + 2 \cdot 3^{x-3} + 3^x\)
\(2^{x-3} \cdot 21 = 3^{x-2} + 2 \cdot 3^{x-3} + 3^x\)
В правой части вынесем \(3^{x-3}\):
\(2^{x-3} \cdot 21 = 3^{x-3} \cdot (3^{(x-2)-(x-3)} + 2 + 3^{x-(x-3)})\)
\(2^{x-3} \cdot 21 = 3^{x-3} \cdot (3^1 + 2 + 3^3)\)
\(2^{x-3} \cdot 21 = 3^{x-3} \cdot (3 + 2 + 27)\)
\(2^{x-3} \cdot 21 = 3^{x-3} \cdot 32\)
Разделим обе части на \(3^{x-3}\) (поскольку \(3^{x-3} \neq 0\)) и на 21:
\(\frac{2^{x-3}}{3^{x-3}} = \frac{32}{21}\)
\(\left(\frac{2}{3}\right)^{x-3} = \frac{32}{21}\)
Это уравнение не имеет простого решения в целых числах. Возможно, в условии задачи есть опечатка, или предполагается использование логарифмов. Если это так, то:
\(x-3 = \log_{\frac{2}{3}}\left(\frac{32}{21}\right)\)
\(x = 3 + \log_{\frac{2}{3}}\left(\frac{32}{21}\right)\)
Если же предполагалось, что правая часть должна быть степенью \(\frac{2}{3}\), то это не так.
Давайте перепроверим условие.
\(2^{x+1} + 2^{x-1} - 3^x = 3^{x-2} - 2^{x-3} + 2 \cdot 3^{x-3}\)
Перенесем все члены с основанием 2 в левую часть, а с основанием 3 в правую часть:
\(2^{x+1} + 2^{x-1} + 2^{x-3} = 3^{x-2} + 2 \cdot 3^{x-3} + 3^x\)
Вынесем \(2^{x-3}\) из левой части:
\(2^{x-3} (2^4 + 2^2 + 1) = 2^{x-3} (16 + 4 + 1) = 2^{x-3} \cdot 21\)
Вынесем \(3^{x-3}\) из правой части:
\(3^{x-3} (3^1 + 2 + 3^3) = 3^{x-3} (3 + 2 + 27) = 3^{x-3} \cdot 32\)
Итак, мы получили:
\(21 \cdot 2^{x-3} = 32 \cdot 3^{x-3}\)
\(\frac{2^{x-3}}{3^{x-3}} = \frac{32}{21}\)
\(\left(\frac{2}{3}\right)^{x-3} = \frac{32}{21}\)
Это окончательный вид. Если требуется численное значение, то:
\(x-3 = \frac{\ln(32/21)}{\ln(2/3)}\)
\(x = 3 + \frac{\ln(32/21)}{\ln(2/3)}\)
Ответ: \(x = 3 + \log_{\frac{2}{3}}\left(\frac{32}{21}\right)\).
4. РЕШИТЬ ПОКАЗАТЕЛЬНЫЕ НЕРАВЕНСТВА:
1. \(2^{2x-1} + 2^{2x-1} + 2^{2x-3} \ge 448\)
Решение:
Сложим первые два члена:
\(2 \cdot 2^{2x-1} + 2^{2x-3} \ge 448\)
\(2^{1} \cdot 2^{2x-1} + 2^{2x-3} \ge 448\)
\(2^{1+2x-1} + 2^{2x-3} \ge 448\)
\(2^{2x} + 2^{2x-3} \ge 448\)
Вынесем \(2^{2x-3}\) за скобки:
\(2^{2x-3} \cdot (2^{2x-(2x-3)} + 1) \ge 448\)
\(2^{2x-3} \cdot (2^3 + 1) \ge 448\)
\(2^{2x-3} \cdot (8 + 1) \ge 448\)
\(2^{2x-3} \cdot 9 \ge 448\)
Разделим обе части на 9:
\(2^{2x-3} \ge \frac{448}{9}\)
\(\frac{448}{9} \approx 49.77\)
Мы знаем, что \(2^5 = 32\), \(2^6 = 64\).
Так как \(2^{2x-3}\) - возрастающая функция, то:
\(2x-3 \ge \log_2\left(\frac{448}{9}\right)\)
\(2x \ge 3 + \log_2\left(\frac{448}{9}\right)\)
\(x \ge \frac{1}{2}\left(3 + \log_2\left(\frac{448}{9}\right)\right)\)
Если нужно приближенное значение:
\(\log_2\left(\frac{448}{9}\right) \approx \log_2(49.77) \approx 5.63\)
\(x \ge \frac{1}{2}(3 + 5.63)\)
\(x \ge \frac{1}{2}(8.63)\)
\(x \ge 4.315\)
Ответ: \(x \ge \frac{1}{2}\left(3 + \log_2\left(\frac{448}{9}\right)\right)\).
2. \(\left(\frac{13}{11}\right)^{x^2-3x} < \frac{121}{169}\)
Решение:
Заметим, что \(\frac{121}{169} = \frac{11^2}{13^2} = \left(\frac{11}{13}\right)^2 = \left(\frac{13}{11}\right)^{-2}\).
Подставим это в неравенство:
\(\left(\frac{13}{11}\right)^{x^2-3x} < \left(\frac{13}{11}\right)^{-2}\)
Основание \(\frac{13}{11} > 1\), поэтому функция возрастающая, и знак неравенства сохраняется при сравнении показателей:
\(x^2 - 3x < -2\)
Перенесем -2 в левую часть:
\(x^2 - 3x + 2 < 0\)
Найдем корни квадратного уравнения \(x^2 - 3x + 2 = 0\).
По теореме Виета:
Сумма корней \(x_1 + x_2 = 3\)
Произведение корней \(x_1 \cdot x_2 = 2\)
Корни: \(x_1 = 1\), \(x_2 = 2\).
Парабола \(y = x^2 - 3x + 2\) ветвями направлена вверх. Неравенство \(x^2 - 3x + 2 < 0\) выполняется между корнями.
Ответ: \(1 < x < 2\).
3. \(5^{2x+1} + 4 \cdot 5^x - 1 > 0\)
Решение:
Перепишем \(5^{2x+1}\) как \(5^{2x} \cdot 5^1 = 5 \cdot (5^x)^2\).
Пусть \(t = 5^x\). Так как \(5^x > 0\), то \(t > 0\).
Неравенство примет вид:
\(5t^2 + 4t - 1 > 0\)
Найдем корни квадратного уравнения \(5t^2 + 4t - 1 = 0\).
Дискриминант \(D = b^2 - 4ac = 4^2 - 4 \cdot 5 \cdot (-1) = 16 + 20 = 36\).
\(t = \frac{-b \pm \sqrt{D}}{2a} = \frac{-4 \pm \sqrt{36}}{2 \cdot 5} = \frac{-4 \pm 6}{10}\)
\(t_1 = \frac{-4 - 6}{10} = \frac{-10}{10} = -1\)
\(t_2 = \frac{-4 + 6}{10} = \frac{2}{10} = \frac{1}{5}\)
Парабола \(y = 5t^2 + 4t - 1\) ветвями направлена вверх. Неравенство \(5t^2 + 4t - 1 > 0\) выполняется вне корней:
\(t < -1\) или \(t > \frac{1}{5}\).
Вспомним, что \(t = 5^x\) и \(t > 0\).
Условие \(t < -1\) не имеет решений, так как \(5^x\) всегда положительно.
Остается \(t > \frac{1}{5}\).
Подставим \(t = 5^x\):
\(5^x > \frac{1}{5}\)
\(5^x > 5^{-1}\)
Основание \(5 > 1\), поэтому функция возрастающая, и знак неравенства сохраняется при сравнении показателей:
\(x > -1\)
Ответ: \(x > -1\).
РЕШИТЬ СИСТЕМУ ПОКАЗАТЕЛЬНЫХ УРАВНЕНИЙ:
1. \[
\begin{cases}
x + 2y = 3 \\
3^{x-y} = 81
\end{cases}
\]
Решение:
Из второго уравнения:
\(3^{x-y} = 81\)
\(3^{x-y} = 3^4\)
Показатели равны:
\(x - y = 4\)
Теперь у нас есть система из двух линейных уравнений:
\[
\begin{cases}
x + 2y = 3 \\
x - y = 4
\end{cases}
\]
Выразим \(x\) из второго уравнения: \(x = y + 4\).
Подставим это в первое уравнение:
\((y + 4) + 2y = 3\)
\(3y + 4 = 3\)
\(3y = 3 - 4\)
\(3y = -1\)
\(y = -\frac{1}{3}\)
Теперь найдем \(x\):
\(x = y + 4 = -\frac{1}{3} + 4 = -\frac{1}{3} + \frac{12}{3} = \frac{11}{3}\)
Ответ: \(\left(\frac{11}{3}; -\frac{1}{3}\right)\).
РЕШИТЬ ЛОГАРИФМИЧЕСКОЕ УРАВНЕНИЕ:
1. \(\log_{\sqrt{3}}(x-2) \log_5 x = 2 \log_3 (x-2)\)
Решение:
ОДЗ (область допустимых значений):
Аргументы логарифмов должны быть положительными:
\(x-2 > 0 \Rightarrow x > 2\)
\(x > 0\)
Пересечение этих условий: \(x > 2\).
Преобразуем логарифмы к одному основанию, например, к 3.
\(\log_{\sqrt{3}}(x-2) = \log_{3^{1/2}}(x-2) = \frac{1}{1/2} \log_3(x-2) = 2 \log_3(x-2)\)
Подставим это в уравнение:
\(2 \log_3(x-2) \log_5 x = 2 \log_3 (x-2)\)
Перенесем все члены в одну сторону:
\(2 \log_3(x-2) \log_5 x - 2 \log_3 (x-2) = 0\)
Вынесем общий множитель \(2 \log_3(x-2)\):
\(2 \log_3(x-2) (\log_5 x - 1) = 0\)
Это уравнение распадается на два случая:
Случай 1: \(2 \log_3(x-2) = 0\)
\(\log_3(x-2) = 0\)
\(x-2 = 3^0\)
\(x-2 = 1\)
\(x = 3\)
Прове