schoolМатематика
verifiedРешено AI
Решение уравнений №573 и №575
help_outlineУсловие задачи

lightbulbКраткий ответ
Представлено подробное решение уравнений №573 и №575. Все вычисления выполнены пошагово, что позволит легко понять и переписать решение в тетрадь.
Подробное решение
Ниже представлены решения задач из ваших скриншотов. Все вычисления выполнены подробно для удобного переписывания в тетрадь.
№573. Решите уравнение
1) \((x - 8)^2 - x(x + 6) = -2\)
\[x^2 - 16x + 64 - x^2 - 6x = -2\]
\[-22x + 64 = -2\]
\[-22x = -2 - 64\]
\[-22x = -66\]
\[x = 3\]
Ответ: 3.
2) \((x + 7)^2 = (x - 3)(x + 3)\)
\[x^2 + 14x + 49 = x^2 - 9\]
\[14x = -9 - 49\]
\[14x = -58\]
\[x = -\frac{58}{14} = -4\frac{2}{14} = -4\frac{1}{7}\]
Ответ: \(-4\frac{1}{7}\).
3) \((2x + 1)^2 - (2x - 1)(2x + 3) = 0\)
\[4x^2 + 4x + 1 - (4x^2 + 6x - 2x - 3) = 0\]
\[4x^2 + 4x + 1 - 4x^2 - 4x + 3 = 0\]
\[4 = 0\]
Ответ: корней нет.
4) \(x(x - 2) - (x + 5)^2 = 35\)
\[x^2 - 2x - (x^2 + 10x + 25) = 35\]
\[x^2 - 2x - x^2 - 10x - 25 = 35\]
\[-12x = 35 + 25\]
\[-12x = 60\]
\[x = -5\]
Ответ: -5.
№575. Замените звёздочки одночленами
1) \((2a + b)^2 = 4a^2 + 4ab + b^2\)
2) \((4x - 10y)^2 = 16x^2 - 80xy + 100y^2\)
3) \((2b^2 - 5c)^2 = 4b^4 - 20b^2c + 25c^2\)
4) \((7a^2 + 3b^3)^2 = 49a^4 + 42a^2b^3 + 9b^6\)
№578. Преобразуйте в многочлен
При решении используем свойство: \((-a+b)^2 = (a-b)^2\) и \((-a-b)^2 = (a+b)^2\).
1) \((-x + 1)^2 = (1 - x)^2 = 1 - 2x + x^2\)
2) \((-m - 9)^2 = (m + 9)^2 = m^2 + 18m + 81\)
3) \((-5a + 3b)^2 = (3b - 5a)^2 = 9b^2 - 30ab + 25a^2\)
4) \((-4x - 8y)^2 = (4x + 8y)^2 = 16x^2 + 64xy + 64y^2\)
5) \((-0,7c - 10d)^2 = (0,7c + 10d)^2 = 0,49c^2 + 14cd + 100d^2\)
6) \((-4a^2 + \frac{1}{8}ab)^2 = (\frac{1}{8}ab - 4a^2)^2 = \frac{1}{64}a^2b^2 - a^3b + 16a^4\)
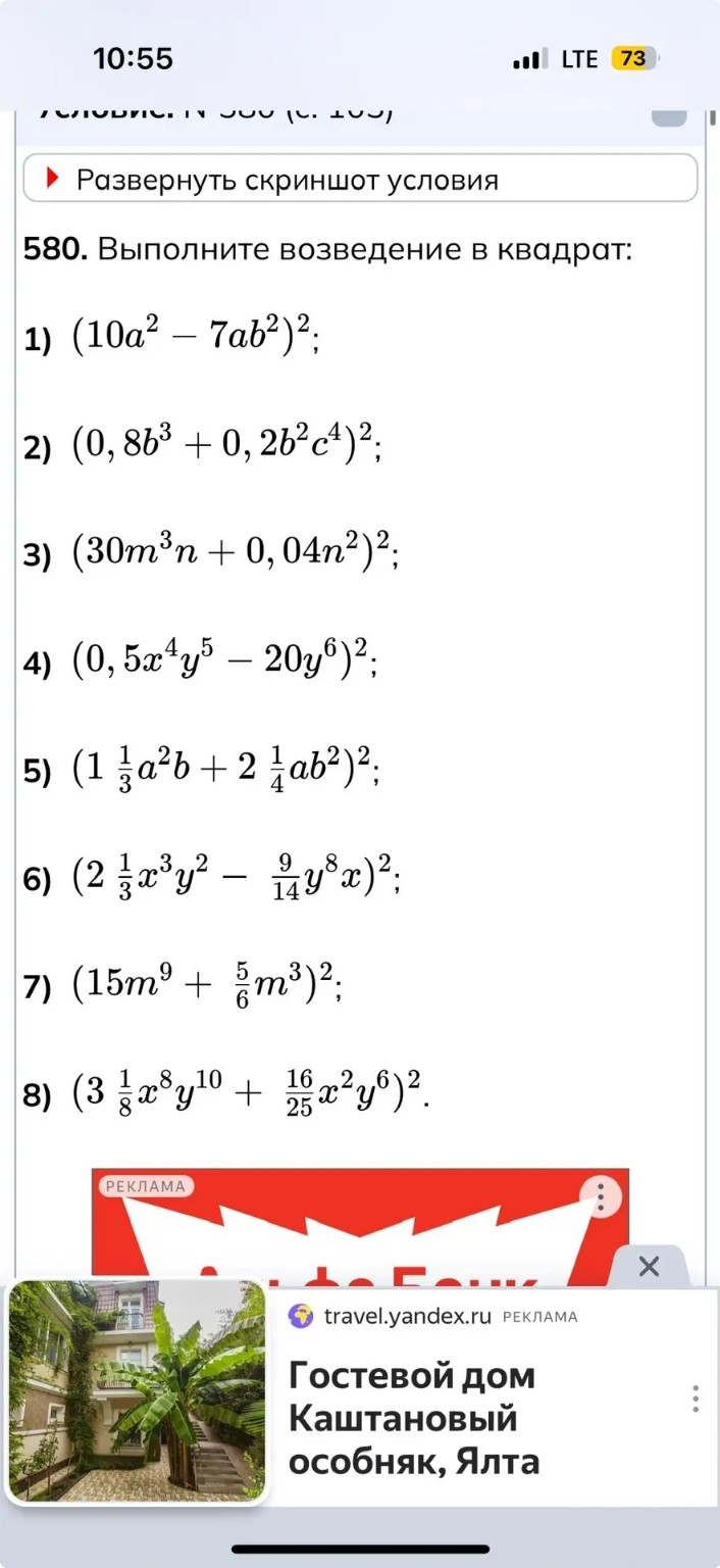
№580. Выполните возведение в квадрат
1) \((10a^2 - 7ab^2)^2 = 100a^4 - 140a^3b^2 + 49a^2b^4\)
2) \((0,8b^3 + 0,2b^2c^4)^2 = 0,64b^6 + 0,32b^5c^4 + 0,04b^4c^8\)
3) \((30m^3n + 0,04n^2)^2 = 900m^6n^2 + 2,4m^3n^3 + 0,0016n^4\)
4) \((0,5x^4y^5 - 20y^6)^2 = 0,25x^8y^{10} - 20x^4y^{11} + 400y^{12}\)
5) \((1\frac{1}{3}a^2b + 2\frac{1}{4}ab^2)^2 = (\frac{4}{3}a^2b + \frac{9}{4}ab^2)^2 = \frac{16}{9}a^4b^2 + 6a^3b^3 + \frac{81}{16}a^2b^4 = 1\frac{7}{9}a^4b^2 + 6a^3b^3 + 5\frac{1}{16}a^2b^4\)
6) \((2\frac{1}{3}x^3y^2 - \frac{9}{14}y^8x)^2 = (\frac{7}{3}x^3y^2 - \frac{9}{14}xy^8)^2 = \frac{49}{9}x^6y^4 - 3x^4y^{10} + \frac{81}{196}x^2y^{16} = 5\frac{4}{9}x^6y^4 - 3x^4y^{10} + \frac{81}{196}x^2y^{16}\)
7) \((15m^9 + \frac{5}{6}m^3)^2 = 225m^{18} + 25m^{12} + \frac{25}{36}m^6\)
8) \((3\frac{1}{8}x^8y^{10} + \frac{16}{25}x^2y^6)^2 = (\frac{25}{8}x^8y^{10} + \frac{16}{25}x^2y^6)^2 = \frac{625}{64}x^{16}y^{20} + 4x^{10}y^{16} + \frac{256}{625}x^4y^{12} = 9\frac{49}{64}x^{16}y^{20} + 4x^{10}y^{16} + \frac{256}{625}x^4y^{12}\)