schoolМатематика
verifiedРешено AI
Решение систем уравнений методом подстановки
help_outlineУсловие задачи

lightbulbКраткий ответ
На странице представлены решения систем линейных уравнений методом подстановки. Приведены примеры с подробным объяснением каждого шага и конечными ответами.
Подробное решение
Решение систем уравнений.
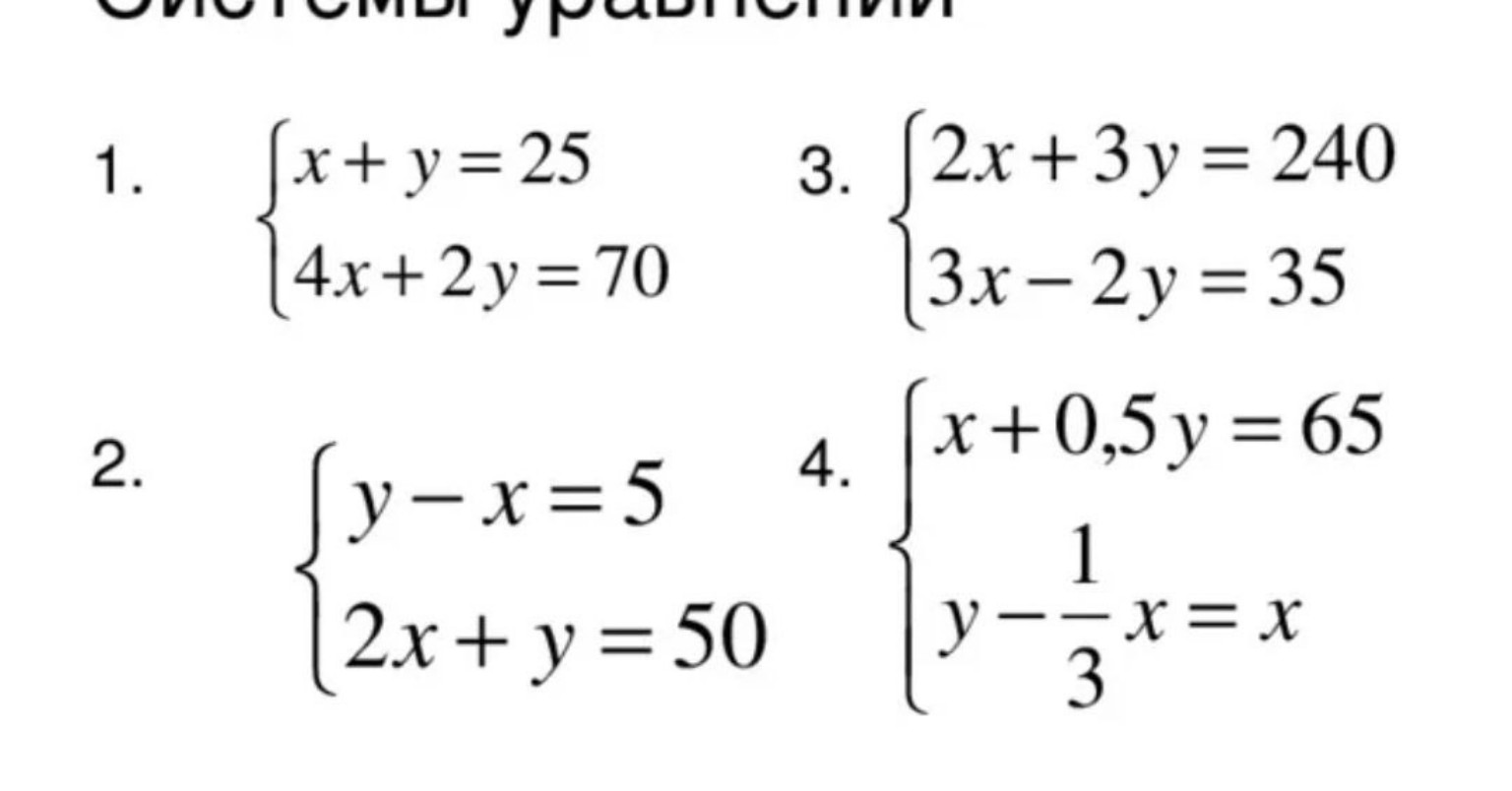
Система №1.
\[ \begin{cases} x + y = 25 \\ 4x + 2y = 70 \end{cases} \]
Выразим \( y \) из первого уравнения:
\[ y = 25 - x \]
Подставим во второе уравнение:
\[ 4x + 2(25 - x) = 70 \]
\[ 4x + 50 - 2x = 70 \]
\[ 2x = 70 - 50 \]
\[ 2x = 20 \]
\[ x = 10 \]
Найдем \( y \):
\[ y = 25 - 10 = 15 \]
Ответ: \( (10; 15) \).
Система №2.
\[ \begin{cases} y - x = 5 \\ 2x + y = 50 \end{cases} \]
Выразим \( y \) из первого уравнения:
\[ y = x + 5 \]
Подставим во второе уравнение:
\[ 2x + (x + 5) = 50 \]
\[ 3x + 5 = 50 \]
\[ 3x = 45 \]
\[ x = 15 \]
Найдем \( y \):
\[ y = 15 + 5 = 20 \]
Ответ: \( (15; 20) \).
Система №3.
\[ \begin{cases} 2x + 3y = 240 \\ 3x - 2y = 35 \end{cases} \]
Умножим первое уравнение на 2, а второе на 3, чтобы применить метод сложения:
\[ \begin{cases} 4x + 6y = 480 \\ 9x - 6y = 105 \end{cases} \]
Сложим уравнения:
\[ (4x + 9x) + (6y - 6y) = 480 + 105 \]
\[ 13x = 585 \]
\[ x = 585 : 13 \]
\[ x = 45 \]
Подставим \( x = 45 \) в первое уравнение:
\[ 2 \cdot 45 + 3y = 240 \]
\[ 90 + 3y = 240 \]
\[ 3y = 150 \]
\[ y = 50 \]
Ответ: \( (45; 50) \).
Система №4.
\[ \begin{cases} x + 0,5y = 65 \\ y - \frac{1}{3}x = x \end{cases} \]
Преобразуем второе уравнение:
\[ y = x + \frac{1}{3}x \]
\[ y = \frac{4}{3}x \]
Подставим в первое уравнение, заменив \( 0,5 \) на \( \frac{1}{2} \):
\[ x + \frac{1}{2} \cdot \frac{4}{3}x = 65 \]
\[ x + \frac{2}{3}x = 65 \]
\[ \frac{5}{3}x = 65 \]
\[ x = 65 \cdot \frac{3}{5} \]
\[ x = 13 \cdot 3 = 39 \]
Найдем \( y \):
\[ y = \frac{4}{3} \cdot 39 = 4 \cdot 13 = 52 \]
Ответ: \( (39; 52) \).