schoolМатематика
verifiedРешено AI
Решение:
help_outlineУсловие задачи

lightbulbКраткий ответ
Подробное пошаговое решение представлено ниже.
Подробное решение
Решение задач по дифференциальным уравнениям.
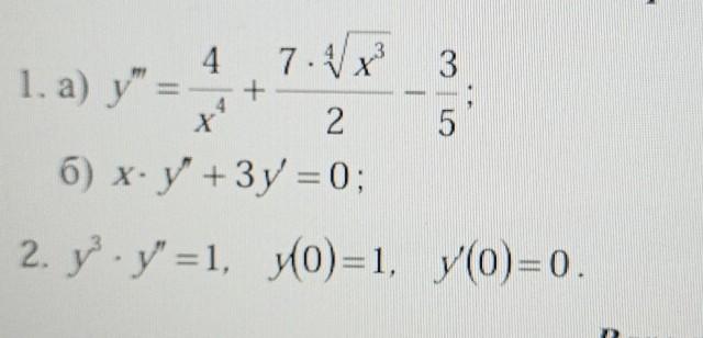
Задача 1. а)
Найти общее решение уравнения:
\[ y''' = \frac{4}{x^4} + \frac{7 \cdot \sqrt[4]{x^3}}{2} - \frac{3}{5} \]
Решение:
Для нахождения \( y \) необходимо последовательно интегрировать правую часть три раза. Перепишем уравнение в степенном виде:
\[ y''' = 4x^{-4} + \frac{7}{2}x^{3/4} - \frac{3}{5} \]
1) Находим вторую производную \( y'' \):
\[ y'' = \int (4x^{-4} + \frac{7}{2}x^{3/4} - \frac{3}{5}) dx = 4 \cdot \frac{x^{-3}}{-3} + \frac{7}{2} \cdot \frac{x^{7/4}}{7/4} - \frac{3}{5}x + C_1 \]
\[ y'' = -\frac{4}{3x^3} + 2x^{7/4} - \frac{3}{5}x + C_1 \]
2) Находим первую производную \( y' \):
\[ y' = \int (-\frac{4}{3}x^{-3} + 2x^{7/4} - \frac{3}{5}x + C_1) dx = -\frac{4}{3} \cdot \frac{x^{-2}}{-2} + 2 \cdot \frac{x^{11/4}}{11/4} - \frac{3}{5} \cdot \frac{x^2}{2} + C_1x + C_2 \]
\[ y' = \frac{2}{3x^2} + \frac{8}{11}x^{11/4} - \frac{3}{10}x^2 + C_1x + C_2 \]
3) Находим общее решение \( y \):
\[ y = \int (\frac{2}{3}x^{-2} + \frac{8}{11}x^{11/4} - \frac{3}{10}x^2 + C_1x + C_2) dx \]
\[ y = \frac{2}{3} \cdot \frac{x^{-1}}{-1} + \frac{8}{11} \cdot \frac{x^{15/4}}{15/4} - \frac{3}{10} \cdot \frac{x^3}{3} + \frac{C_1x^2}{2} + C_2x + C_3 \]
\[ y = -\frac{2}{3x} + \frac{32}{165}x^{15/4} - \frac{x^3}{10} + \tilde{C_1}x^2 + C_2x + C_3 \]
Задача 1. б)
Решить уравнение:
\[ x \cdot y'' + 3y' = 0 \]
Решение:
Это уравнение, допускающее понижение порядка. Пусть \( y' = p(x) \), тогда \( y'' = p' \).
\[ x \cdot p' + 3p = 0 \]
\[ x \frac{dp}{dx} = -3p \]
Разделяем переменные:
\[ \frac{dp}{p} = -3 \frac{dx}{x} \]
Интегрируем:
\[ \ln|p| = -3\ln|x| + \ln|C_1| \]
\[ p = \frac{C_1}{x^3} \]
Так как \( p = y' \), то:
\[ y' = \frac{C_1}{x^3} \]
\[ y = \int C_1 x^{-3} dx = C_1 \frac{x^{-2}}{-2} + C_2 \]
\[ y = \frac{\tilde{C_1}}{x^2} + C_2 \]
Задача 2.
Решить задачу Коши:
\[ y^3 \cdot y'' = 1, \quad y(0)=1, \quad y'(0)=0 \]
Решение:
Уравнение вида \( y'' = f(y) \). Используем замену \( y' = p(y) \), тогда \( y'' = p \frac{dp}{dy} \).
\[ y^3 \cdot p \frac{dp}{dy} = 1 \]
\[ p dp = \frac{dy}{y^3} \]
Интегрируем:
\[ \frac{p^2}{2} = -\frac{1}{2y^2} + C_1 \]
Используем начальные условия \( y=1, p=y'=0 \):
\[ 0 = -\frac{1}{2 \cdot 1^2} + C_1 \Rightarrow C_1 = \frac{1}{2} \]
Получаем:
\[ \frac{p^2}{2} = \frac{1}{2} - \frac{1}{2y^2} \Rightarrow p^2 = 1 - \frac{1}{y^2} = \frac{y^2 - 1}{y^2} \]
\[ p = \pm \sqrt{\frac{y^2 - 1}{y^2}} = \pm \frac{\sqrt{y^2 - 1}}{y} \]
Так как \( y' = p \), имеем:
\[ \frac{dy}{dx} = \pm \frac{\sqrt{y^2 - 1}}{y} \]
\[ \frac{y dy}{\sqrt{y^2 - 1}} = \pm dx \]
Интегрируем:
\[ \sqrt{y^2 - 1} = \pm x + C_2 \]
При \( x=0, y=1 \):
\[ \sqrt{1^2 - 1} = 0 + C_2 \Rightarrow C_2 = 0 \]
Следовательно:
\[ \sqrt{y^2 - 1} = \pm x \]
Возводим в квадрат:
\[ y^2 - 1 = x^2 \]
\[ y^2 - x^2 = 1 \]
Ответ: \( y = \sqrt{x^2 + 1} \) (выбираем положительный корень, так как \( y(0)=1 \)).