schoolМатематика
verifiedРешено AI
Решение: Найти f'(x0) - Производная функции в точке
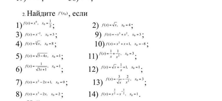
help_outlineУсловие задачи

lightbulbКраткий ответ
На странице представлено подробное решение задачи нахождения производной функции в заданной точке. Примеры решения для f(x) = x^6, √x, x^-2.
Подробное решение
Задание: Найдите \( f'(x_0) \).
Ниже представлено решение выбранных задач из списка в удобном для переписывания виде.
1) \( f(x) = x^6 \), \( x_0 = \frac{1}{2} \)
Находим производную:
\[ f'(x) = 6x^5 \]
Вычисляем значение в точке \( x_0 \):
\[ f'\left(\frac{1}{2}\right) = 6 \cdot \left(\frac{1}{2}\right)^5 = 6 \cdot \frac{1}{32} = \frac{6}{32} = \frac{3}{16} \]
Ответ: \( \frac{3}{16} \)
2) \( f(x) = \sqrt{x} \), \( x_0 = 4 \)
Находим производную:
\[ f'(x) = \frac{1}{2\sqrt{x}} \]
Вычисляем значение в точке \( x_0 \):
\[ f'(4) = \frac{1}{2\sqrt{4}} = \frac{1}{2 \cdot 2} = \frac{1}{4} = 0,25 \]
Ответ: \( 0,25 \)
3) \( f(x) = x^{-2} \), \( x_0 = 3 \)
Находим производную:
\[ f'(x) = -2x^{-3} = -\frac{2}{x^3} \]
Вычисляем значение в точке \( x_0 \):
\[ f'(3) = -\frac{2}{3^3} = -\frac{2}{27} \]
Ответ: \( -\frac{2}{27} \)
4) \( f(x) = \sqrt[3]{x} \), \( x_0 = 8 \)
Представим как \( f(x) = x^{\frac{1}{3}} \). Находим производную:
\[ f'(x) = \frac{1}{3}x^{\frac{1}{3}-1} = \frac{1}{3}x^{-\frac{2}{3}} = \frac{1}{3\sqrt[3]{x^2}} \]
Вычисляем значение в точке \( x_0 \):
\[ f'(8) = \frac{1}{3\sqrt[3]{8^2}} = \frac{1}{3\sqrt[3]{64}} = \frac{1}{3 \cdot 4} = \frac{1}{12} \]
Ответ: \( \frac{1}{12} \)
7) \( f(x) = x^2 - 2x + 1 \), \( x_0 = 0 \)
Находим производную:
\[ f'(x) = 2x - 2 \]
Вычисляем значение в точке \( x_0 \):
\[ f'(0) = 2 \cdot 0 - 2 = -2 \]
Ответ: \( -2 \)
8) \( f(x) = x^3 - 2x \), \( x_0 = 2 \)
Находим производную:
\[ f'(x) = 3x^2 - 2 \]
Вычисляем значение в точке \( x_0 \):
\[ f'(2) = 3 \cdot 2^2 - 2 = 3 \cdot 4 - 2 = 12 - 2 = 10 \]
Ответ: \( 10 \)
9) \( f(x) = -x^3 + x^2 \), \( x_0 = 3 \)
Находим производную:
\[ f'(x) = -3x^2 + 2x \]
Вычисляем значение в точке \( x_0 \):
\[ f'(3) = -3 \cdot 3^2 + 2 \cdot 3 = -3 \cdot 9 + 6 = -27 + 6 = -21 \]
Ответ: \( -21 \)
10) \( f(x) = x^2 + x + 1 \), \( x_0 = -8 \)
Находим производную:
\[ f'(x) = 2x + 1 \]
Вычисляем значение в точке \( x_0 \):
\[ f'(-8) = 2 \cdot (-8) + 1 = -16 + 1 = -15 \]
Ответ: \( -15 \)
14) \( f(x) = x^{\frac{3}{2}} - x^{-\frac{3}{2}} \), \( x_0 = 1 \)
Находим производную:
\[ f'(x) = \frac{3}{2}x^{\frac{1}{2}} - \left(-\frac{3}{2}\right)x^{-\frac{5}{2}} = \frac{3}{2}\sqrt{x} + \frac{3}{2x^2\sqrt{x}} \]
Вычисляем значение в точке \( x_0 \):
\[ f'(1) = \frac{3}{2}\sqrt{1} + \frac{3}{2 \cdot 1^2 \sqrt{1}} = \frac{3}{2} + \frac{3}{2} = 3 \]
Ответ: \( 3 \)